Food Hydrocolloids |祝祥威副教授在鱼糜抗冻保护研究领域取得新进展
2024年4月,国际食品Top期刊Food Hydrocolloids(中科院一区top、影响因子10.7)以文题“Elucidate the molecular basis of ampholytic chitosan as a high-performance cryoprotectant to myosin denaturation: The importance of saccharide charges”在线发表了湖北工业大学生命科学与健康工程学院祝祥威副教授团队的最新研究进展(原文链接:https://doi.org/10.1016/j.foodhyd.2024.109915)。
 
 

图1图形摘要
向高蛋白食品中添加适当的糖类抗冻剂,可有效抑制其在冻藏、运输、加工过程中蛋白质的冷冻变性。糖类的电荷状态是影响其诸多功能特性的结构基础;然而,糖类自身的电荷效应与其冷冻保护行为有何联系,尚缺乏足够的理论研究。带何种电荷的糖是理想的蛋白冷冻保护剂?受自然界中极地动植物体内具有高浓度的兼性电荷物质这一现象启发,本研究以兼性电荷壳聚糖(CMCO)为原料,探讨了其对肌球蛋白冷冻变性的高效抑制行为,并结合分子动力学模拟和实验表征,系统地研究了CMCO的冷冻保护机制,即水分置换效应(图1)。

图2CMCO对肌球蛋白高级结构的冷冻保护规律
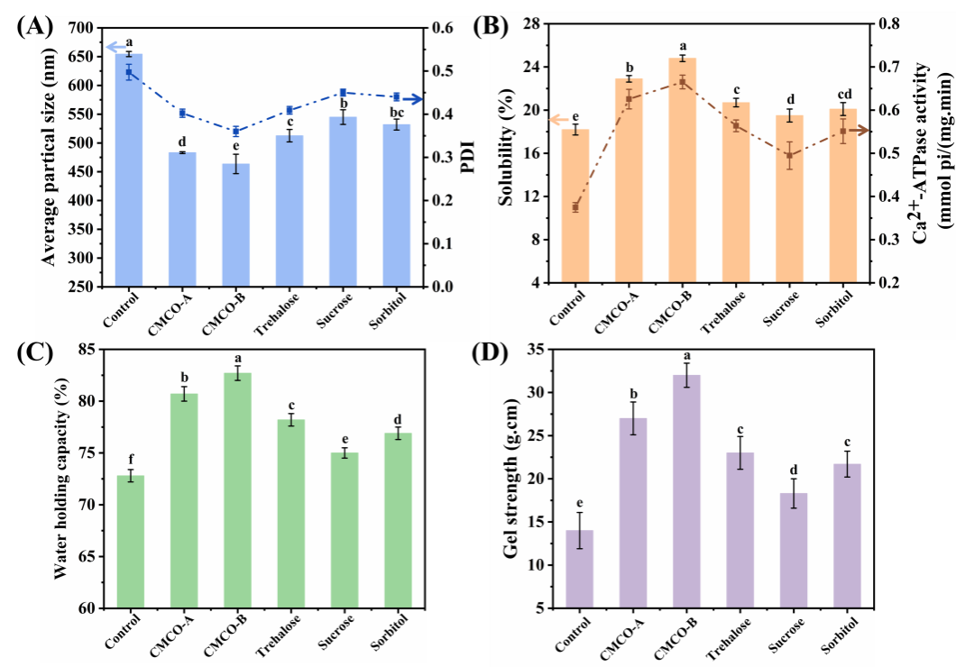
结果表明,CMCO可能通过氢键和静电作用与肌球蛋白相互作用,导致蛋白质表面的水被排出,进而提高肌球蛋白的分子刚性,稳定蛋白质的二、三级结构(图2)。在CMCO的保护下,肌球蛋白的冷冻聚集行为受到明显抑制,蛋白表现出良好的溶解度、Ca2+-ATP酶活性和凝胶特性(图3)。值得注意的是,CMCO的低温保护行为还具有明显的电荷响应性:羧基取代度较高的CMCO(DS: 1.2)比低取代的CMCO(DS: 0.8)表现出更强的冷冻保护效率。本研究以肌球蛋白为例,探讨了兼性电荷糖类的冷冻保护机制及其在食品中的潜在应用价值。

图3 CMCO对肌球蛋白冻后理化指标的改善作用:聚集行为、溶解性、持水性、凝胶性
湖北工业大学硕士研究生张婷和华南理工大学博士研究生滕永欣为该论文的共同第一作者,湖北工业大学为第一单位,通讯作者为湖北工业大学生命科学与健康工程学院祝祥威副教授。这项工作得到了中国国家自然科学基金 (32201953)、 武汉市科技局曙光计划 (2022020801020262),HBUT国家“111”细胞调控和分子药剂学中心合作资助(XBTK-2022017)的支持。